? 環氧樹脂是通用型熱固性樹脂,但普通的環氧樹脂耐候性差,易黃變易老化,戶外使用一段時間即出現表面失去光澤、出現龜裂、強度降低、性能下降等。以往解決環氧樹脂的耐候性,大多從環氧樹脂與固化劑著手,開發耐候性更強的改性環氧樹脂、更耐黃變的改性脂環族固化劑等,但這些產品成本高,應用范圍窄、不符合經濟效益,如何通過光穩定劑與抗氧劑提高環氧制品的耐黃變性能,擴大應用范圍,具有經濟與實用價值。
? 在熱固性樹脂添加抗黃變助劑,它要求添加劑呈液體加入,如果使用固體加入,則要求它與環氧體系各組分能溶解且相容性良好,這會使得材料的穩定性研究復雜化。
(一)環氧化合物的光降解
外國學者V. B elleger和 J. V erdu對通用的雙酚 A 型 環氧化合物和胺類的固化產物的光氧化行為進行了 研究。其環氧化合物的結構如式 1所示。

式中X可為異丙基 (按其n的大小環氧化合物分為A和B)或次甲基 (環氧化合物C), Z為次甲基 (二氨基二苯甲烷, DDM ), 氧 (二氨基二苯醚, DDE ), 砜基 (二氨基二苯砜, DDS)。
將環氧化合物 A、 B、 C 與與固化劑 DDM、 DDE、DDS按化學計量配合澆鑄成膜, 在(31±1)°C下進行輻照試驗, 試樣中羰基和酰胺基含量隨時 間的延長而增加, 固化劑采用 DDS時樣品中羰基 和酰胺基的含量增加最慢, 這可能與 DDS分子中 硫原子的穩定性較大有關, 另外, 輻照后的膜色澤 變深。其原因可能有下列幾個方面:
1)環氧樹脂分子中的縮水甘油醚基被氧化, 氧化的產物經光 - Fries重排生成鄰羥基二苯酮類 生色化合物 (反應見式 3)。

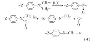
2)環氧樹脂份子中胺的部分被氧化成含有共軛體系的生色物(見式4)。

3)固化劑分子被氧化
這種情況因固化劑分子結構不同而異,使用DDM時比較嚴重,因其分子中的次甲基易被氧化為酮或其他含有共軛體系的生色物(見式5)。

Borg - Warner公司對以二氨基二苯甲烷四縮水甘油醚和以二氨基二本砜DDS為固化劑的環氧樹脂進行紫外線和電子輻射,其化學結構見式6。

該環氧化合物有 4個環氧基, 反應性高, 固化 后產物的交聯度高, 耐溫性高。 所用試樣為石墨纖維 ( Hercu les Inc. 公司產 品, 商品名 T300)增強的四層復合層壓材料, 比較用樹脂有 2種: F iberite 934 (純 MY720)和 Narm co 5208(除 MY720 外還含有少量的雙酚 A 型環氧 物 ), 2種層壓材料分別用 934 /T300(樹脂質量分 數為 451% ) 和 5208 /T300 ( 樹 脂 質 量 分 數 為 328% )表示。 該公司以 960ESH (相當于日照 960 h) 的紫外 線強度和 10 7 Gy的電子輻射強度對試樣進行試驗, 試樣釋放出的揮發物的情況如表 1所示。 表 1 石墨纖維增強環氧樹脂的紫外線和電子輻照實驗結果

從表 1可見, 5208 /T300增強材料在紫外線和 電子輻照后的分解產物量遠遠高于 934 /T300, 以 苯為例, 前者為 1 190, 后者僅為 979, 這是由于 5208樹脂中含有雙酚 A 型環氧物所致, 其分子中 的異丙基橋穩定性較差易分解成苯類化合物。
文章來源:《環氧樹脂降解與穩定化研究進展》